栏目导航
|
站内搜索
网站首页
医院概况
医院简介
历史沿革
领导班子
新闻中心
医院动态
公开公示
招聘信息
招标信息
就诊指南
门诊就医流程
住院就医流程
专家门诊一览
各科服务电话
专科介绍
省级重点专科
市级重点专科
院级特色专科
专家介绍
医院文化
核心文化
中医药文化
G C P
机构简介
专业组简介
办事指南
相关法规
工作动态
党务公开
工作动态
安排部署
上级精神
理论园地
两学一做
老年友善
您当前位置:
泰州市姜堰中医院
-
新闻中心
-
公开公示
-
院务公开
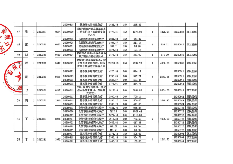
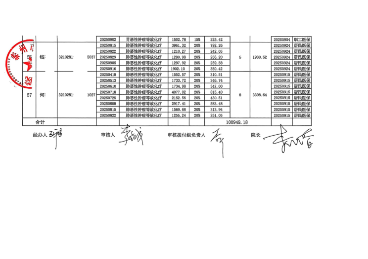
2025年三季度红十字公益救助项目汇总表(公布版)
2025-12-10 15:59:11
发布:llh